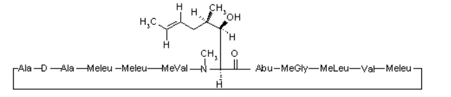
Cyclosporin Oral Solution
请仔细阅读说明书并在医生的指导下使用
核准日期:2006年9月25日|修改日期:2015年12月1日
适用于预防同种异体肾...登录
成人口服常用量:开始...登录
(1)本品经动物实验...登录
网页版仅展示部分,【药物相互作用、不良反应、儿童用药等】使用微信扫一扫,在用药助手 App 看