

Sodium Aescinate Tablets
请仔细阅读说明书并在医生的指导下使用
核准日期:2007年3月21日|修改日期:2023年9月25日
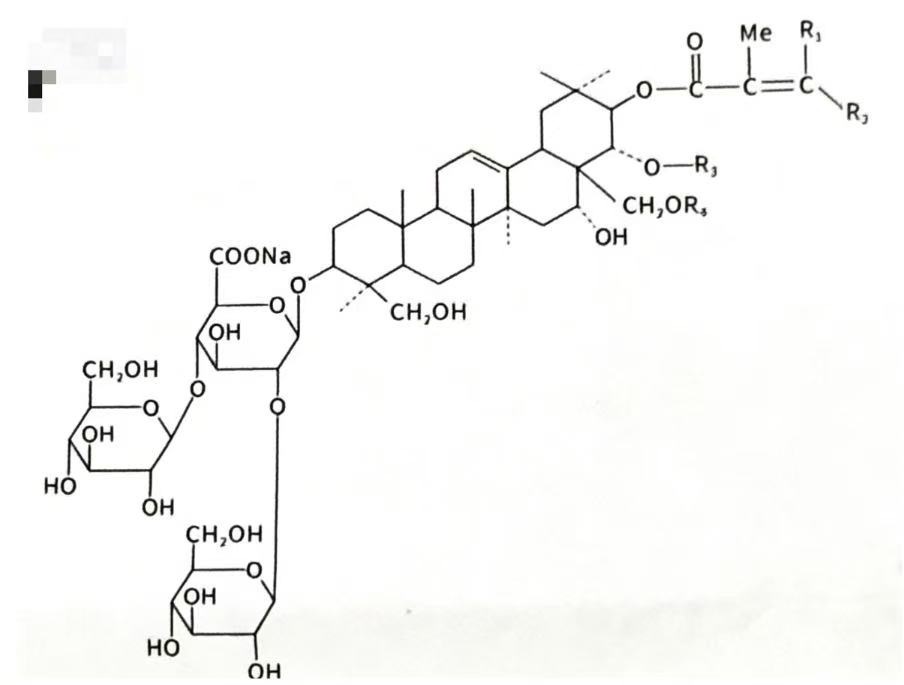
R1 | R2 | R3 | R4 | |
|---|---|---|---|---|
七叶皂苷钠 A | -CH3 | -H | -COCH3 | -H |
七叶皂苷钠 B | -H | -CH₃ | -COCH₃ | -H |
七叶皂苷钠 C | -CH3 | -H | -H | -COCH3 |
七叶皂苷钠 D | -H | -CH3 | -H | -COCH3 |
各种原因所致的软组织...登录
饭后口服。成人用量:...登录
1. 放置在儿童不易...登录
网页版仅展示部分,【药物相互作用、不良反应等】使用微信扫一扫,在用药助手 App 看