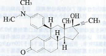
Mifepristone Tablets
请仔细阅读说明书并在医生的指导下使用
核准日期:2014年6月6日|修改日期:2020年12月15日
本品用于成年生育年龄...登录
口服。一次 10 m...登录
治疗前要确认病人未孕...登录
网页版仅展示部分,【药物相互作用、不良反应等】使用微信扫一扫,在用药助手 App 看