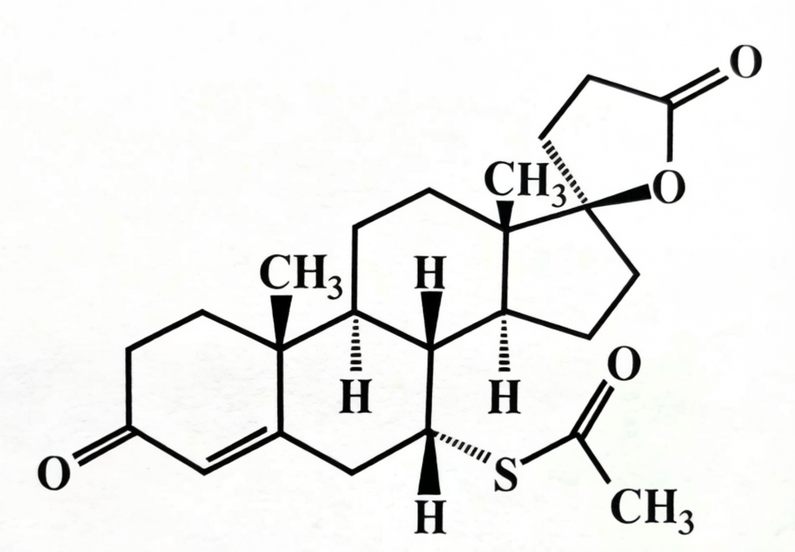
Spironolactone Tablets
请仔细阅读说明书并在医生的指导下使用
核准日期:2015年12月1日|修改日期:2015年12月1日
(1)水肿性疾病 与...登录
1、成人①治疗水肿性...登录
(1)下列情况慎用:...登录
网页版仅展示部分,【药物相互作用、不良反应、儿童用药等】使用微信扫一扫,在用药助手 App 看