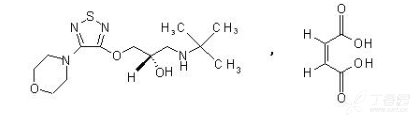
Timolol Maleate Eye Drops
请仔细阅读说明书并在医生的指导下使用
核准日期:2007年5月16日|修改日期:2022年11月16日
对原发性开角型青光眼...登录
滴眼,一次 1 滴,...登录
当出现呼吸急促、脉搏...登录
网页版仅展示部分,【药物相互作用、不良反应等】使用微信扫一扫,在用药助手 App 看