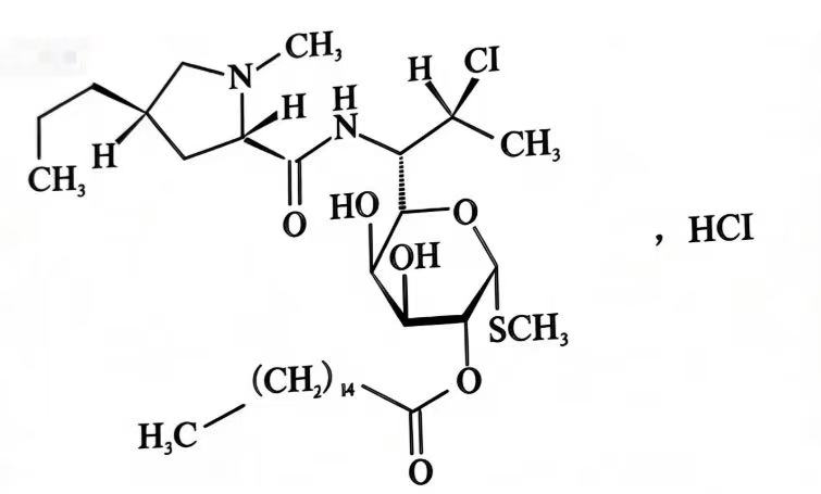
Clindamycin Palmitate Hydrochloride For Suspension
请仔细阅读说明书并在医生的指导下使用
核准日期:2006年10月10日|修改日期:2021年1月6日
革兰阳性菌引起的下列...登录
温开水冲服。按克林霉...登录
本品作用机制与林可霉...登录
网页版仅展示部分,【药物相互作用、不良反应等】使用微信扫一扫,在用药助手 App 看