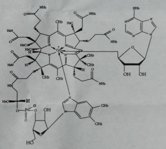
Cobamamide Tablets
请仔细阅读说明书并在医生的指导下使用
核准日期:2007年6月29日|修改日期:2024年4月10日
主要用于巨幼红细胞性...登录
口服,成人每次 0....登录
网页版仅展示部分,【药物相互作用、不良反应、儿童用药等】使用微信扫一扫,在用药助手 App 看