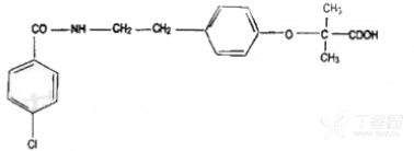
Bezafibrate Capsules
请仔细阅读说明书并在医生的指导下使用
核准日期:2008年11月4日|修改日期:2008年11月4日
用于治疗高甘油三酯血...登录
成人常用量:每日 3...登录
本品对诊断有干扰:血...登录
网页版仅展示部分,【药物相互作用、不良反应、儿童用药等】使用微信扫一扫,在用药助手 App 看